在选择直线导轨时,您是否曾在产品目录或制造商网站上看到过关于动态负载能力的免责声明?它通常是这样写的:
动态负载能力以100,000米行程为基础。当与负载能力基于50,000米行程的产品进行比较时,将100,000米额定值乘以1.26。
如果你看到这篇文章,你可能想知道1.26从何而来,为什么它如此重要。为了找到答案,我们将研究每个等级的轴承寿命方程,以推导转换因子。但首先,让我们回顾一下静态和动态负载能力之间的区别。
静载能力,按ISO 14728第2部分关于滚动轴承,是引起滚动元件(球)和滚道永久变形的力,等于滚动元件直径的0.0001倍。这是一个重要的规格,因为如果超过它,轴承的运行特性将受到损害。但是,静载能力仅在轴承处于非运动状态时有效。因此,虽然在选择线性轴承时考虑静态负载能力是至关重要的,但它是最重要的动态用于计算轴承寿命的承载能力。
动态载荷能力是指在滚动元件或滚道发生疲劳(剥落)之前,线性导轨以90%的确定性达到目标使用寿命的载荷。ISO 14728第1部分规范允许使用50,000 m或100,000 m作为动态负载能力的目标使用寿命。因此,为了在不同厂家的直线导轨之间进行比较,需要知道它们的动载荷额定值是基于5万米还是10万米。这就是1.26转换因子变得重要的地方。
计算线性轴承寿命的方程
首先,我们将建立50,000 m使用寿命和100,000 m使用寿命的轴承寿命方程:
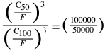
L =使用寿命 C =动态负载能力 施加的力使寿命方程相等,我们就可以开始推导C的比值50COne hundred.:
把变量移到方程的一边,得到:
可以简化为:
两种计算寿命的力是相同的,所以F可以从分子和分母中去掉,得到:
为了消去左边的三次方,我们对两边取立方根:
在更实际的形式中,基于100,000 m的轴承的承载能力应该是增加通过1.26,以便与负载能力基于50,000 m的线性轴承进行准确的比较:
反之,以50,000 m为基础的轴承的承载能力应为划分通过1.26,以便与承载能力基于100,000米的轴承进行准确的比较:
打个比方,想象一下背着装满重物的背包慢跑。如果你慢跑10英里,你可能只能负重20磅而不感到疲劳。但如果你只慢跑5英里,你可以轻松地负重25磅而不感到疲劳。基于10万米寿命和5万米寿命的负载能力之间的转换也是同样的原理。
通过理解1.26转换因子背后的理论,并在必要时应用它,您可以避免因应用过大而导致的线性轴承的前期成本或因尺寸过小而导致的停机和维修的长期成本。








我们怎么计算力呢?
我的意思是,我使用的是直线电机的单轨导轨,我无法计算轴承上的等效动力,因为我的负载偏移到中心。我需要计算轴承的运行寿命。
请详细指导。